Lompat ke konten Lompat ke sidebar Lompat ke footer

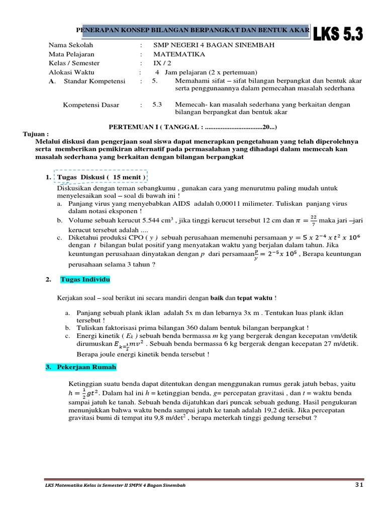
Soal Cerita Perpangkatan Kelas 9 - Latihan Konsep Pangkat Worksheet - Kunci jawaban soal ips bab 1 kelas 9 k 2013 (3).

Soal Cerita Perpangkatan Kelas 9 - Latihan Konsep Pangkat Worksheet - Kunci jawaban soal ips bab 1 kelas 9 k 2013 (3).. Perpangkatan dan bentuk akar smp kelas 9 buku bse revisi 2018 matematika lat 1 4 no 1 7. Selamat datang di channel ini yang akan membahas materi matematika dari sd sampai sma. Pemerintah daerah setempat berencana menanami lapangan dengan. Kunci jawaban soal ips bab 1 kelas 9 k 2013 (3). Cara membuat grafik fungsi pada system koordinat cartesius.

Terima kasih telah berkunjung ke blog berbagi bentuk 2019. Latihan soal uts ini bertujuan untuk menambah perbendaharaan latihan soal khususnya mata pelajaran pai kelas 9. Soal ulangan harian matematika kelas 11 kurikulum 2013 program linear ini merupakan contoh soal terbaru yang akan saya bagikan bagi bapakibu yang mengampu mata pelajaran matematika kelas 11 smama yang telah menerapkan kurikulum 2013 untuk semester 1. Materi pelajaran matematika kelas 9 bab 6. .10 soal segiempat dan segitiga kelas 7 soal peluang kelas 8 soal latihan ujian sekolah ipa sd soal rumus kimia dan tata nama senyawa sederhana soal larutan ini termasuk salah satu materi di kelas 9 yang perlu dipahami.

Pertemuan 8 5 Kelas 9 Soal Cerita Bilangan Berpangkat Dan Bentuk Akar Youtube
Pertemuan 8 5 Kelas 9 Soal Cerita Bilangan Berpangkat Dan Bentuk Akar Youtube from i.ytimg.com
Artikel contoh soal ips kelas 9 ix tahun 2021 , smp/mts lengkap, pg dan essay pelajaran ips, semester 1 dan 2, tahun ajaran baru. Perpangkatan dan bentuk akar kelas: Soal cerita perpangkatan, perputaran uang di pasar → brainly.co.id/tugas/2980673. Berikut ini kami berikan beberapa soal latihan disertai pembahasannya. Soal bab i perpangkatan dan bentuk akar matematika smp kelas ix kurikulum 2013 semester 1. Dapatkan hasil dari operasi perpangkatan berikut ini. Soal kelas 9 cerita inspirasi. Latihan soal matematika kelas 9 perpangkatan dan bentuk akar.

Nah, supaya kamu semakin mahir dalam melakukan operasi hitung.

Pembahasan soal un matematika bilangan berpangkat. Pdf materi dan soal matematika kelas 9 ptik nr academiaedu. Latihan soal uts ini bertujuan untuk menambah perbendaharaan latihan soal khususnya mata pelajaran pai kelas 9. Bila soal tersebut tidak terdapat kunci jawabannya silahkan beritahukan kami pada kotak komentar di bawah ini. .10 soal segiempat dan segitiga kelas 7 soal peluang kelas 8 soal latihan ujian sekolah ipa sd soal rumus kimia dan tata nama senyawa sederhana soal larutan ini termasuk salah satu materi di kelas 9 yang perlu dipahami. Contoh soal bilangan berpangkat bulat positif negatif dan nol buat. Nyatakan perpangkatan berikut dalam bentuk paling sederhana → brainly.co.id/tugas/2930825. Sifat perpangkatan pada bilangan perkalian bilangan berpangkat pecahan. Materi pelajaran matematika kelas 9 bab 6. Tutorial menjawab soal kelas 9 smp materi perpangkatan dan. Pemerintah daerah setempat berencana menanami lapangan dengan. Perpangkatan dan bentuk akar smp kelas 9 buku bse revisi 2018 matematika lat 1 4 no 1 7. Materi matematika kelas 9 smp ainun fakriah.

Kunci jawaban soal perpangkatan kelas 9 + hots (1). Tutorial menjawab soal kelas 9 smp materi perpangkatan dan bentuk. Dipersilahkan untuk didownload dan dikreasikan bentuk soalnya. Soal 1 nyatakanlah hasil perkalian berikut dalam satu bentuk pangkat. Terjawab • terverifikasi oleh ahli.

Soal Bilangan Berpangkat Dan Bentuk Akar Kelas 9
Soal Bilangan Berpangkat Dan Bentuk Akar Kelas 9 from data03.123dok.com
Pelajaran soal rumus bentuk pangkat pecahan wardaya college. Bab i perpangkatan dan bentuk akar. .10 soal segiempat dan segitiga kelas 7 soal peluang kelas 8 soal latihan ujian sekolah ipa sd soal rumus kimia dan tata nama senyawa sederhana soal larutan ini termasuk salah satu materi di kelas 9 yang perlu dipahami. Soal ulangan harian matematika kelas 11 kurikulum 2013 program linear ini merupakan contoh soal terbaru yang akan saya bagikan bagi bapakibu yang mengampu mata pelajaran matematika kelas 11 smama yang telah menerapkan kurikulum 2013 untuk semester 1. Soal 1 nyatakanlah hasil perkalian berikut dalam satu bentuk pangkat. Apabila kalian sudah cukup memahami materi ini, coba juga latihan soal materi ini pada link dibawah ini: Smp kelas 8 persamaan garis lurus (gradient). Pembahasan soal un matematika bilangan berpangkat.

Tutorial menjawab soal kelas 9 smp materi perpangkatan dan bentuk.

Kunci jawaban soal ips bab 1 kelas 9 k 2013 (3). Soal cerita perpangkatan, perputaran uang di pasar → brainly.co.id/tugas/2980673. Perpangkatan dan bentuk akar smp kelas 9 buku bse revisi 2018 matematika lat 1 4 no 1 7. Materi matematika kelas 9 smp ainun fakriah. Rangkuman matematika kelas 9 semester 1 kurikulum 2013 venny. 0 ratings0% found this document useful (0 votes). Dipersilahkan untuk didownload dan dikreasikan bentuk soalnya. Materi pelajaran matematika kelas 9 bab 6. Contoh soal bilangan berpangkat bulat positif negatif dan nol buat. Itulah yang admin bisa dapat mengenai materi perpangkatan dan bentuk akar kelas 9. Pdf materi dan soal matematika kelas 9 ptik nr academiaedu. Contoh soal cerita tentang bentuk pangkat? Pemerintah daerah setempat berencana menanami lapangan dengan.

Latihan soal uts ini bertujuan untuk menambah perbendaharaan latihan soal khususnya mata pelajaran pai kelas 9. Dapatkan hasil dari operasi perpangkatan berikut ini. Latihan soal matematika kelas 9 perpangkatan dan bentuk akar. Bila soal tersebut tidak terdapat kunci jawabannya silahkan beritahukan kami pada kotak komentar di bawah ini. Rangkuman matematika kelas 9 semester 1 kurikulum 2013 venny.

Materi Matematika Bilangan Berpangkat Dan Bentuk Akar Smp Kelas Ix Bag 2 Tutorial Matematika Kesekolah Com
Materi Matematika Bilangan Berpangkat Dan Bentuk Akar Smp Kelas Ix Bag 2 Tutorial Matematika Kesekolah Com from www.kesekolah.com
Kunci jawaban soal ips bab 1 kelas 9 k 2013 (3). Cara mudah menyusun table pada materi fungsi matematika. Sifat sifat operasi bilangan berpangkat lengkap dengan. Soal pangkat dan akar kelas 9 smp. 0 ratings0% found this document useful (0 votes). Bab i perpangkatan dan bentuk akar. Kunci jawaban soal perpangkatan kelas 9 + hots (1). Dipersilahkan untuk didownload dan dikreasikan bentuk soalnya.

Bila soal tersebut tidak terdapat kunci jawabannya silahkan beritahukan kami pada kotak komentar di bawah ini.

Artikel contoh soal ips kelas 9 ix tahun 2021 , smp/mts lengkap, pg dan essay pelajaran ips, semester 1 dan 2, tahun ajaran baru. Pelajaran soal rumus bentuk pangkat pecahan wardaya college. Kalian boleh kasih pertanyaan ataupun kasih saran tentang materi yang. 0 ratings0% found this document useful (0 votes). Contoh soal bilangan berpangkat bulat positif negatif dan nol buat. Semoga bermanfaat dan membantu untuk kita semua. Pembahasan soal un matematika bilangan berpangkat. Sifat sifat operasi bilangan berpangkat lengkap dengan. Soal kelas 9 cerita inspirasi. Nah, supaya kamu semakin mahir dalam melakukan operasi hitung. Latihan soal matematika kelas 9 perpangkatan dan bentuk akar. Nyatakan perpangkatan berikut dalam bentuk paling sederhana → brainly.co.id/tugas/2930825. Soal cerita perpangkatan perputaran uang bse matematika kelas 9 k13 latihan 1 2 no 09.

Posting Komentar untuk "Soal Cerita Perpangkatan Kelas 9 - Latihan Konsep Pangkat Worksheet - Kunci jawaban soal ips bab 1 kelas 9 k 2013 (3)."